Giỏ hàng

Sổ Tay Luyện Thi Vào Lớp 10 Môn Toán

Nhà cung cấp: Megabook
|
Loại bìa: Bìa Mềm
|
Mã SP: 8936214270873
125,100₫ 139,000₫

Khuyến mãi & Ưu đãi tại CACHEP.VN

  • Freeship TP.HCM cho đơn hàng từ 1.000.000 đồng
  • Freeship tại các tỉnh thành ngoài TP.HCM cho đơn hàng từ 1.500.000 đồng
Số lượng

Gọi đặt mua (024) 3994 7159 (Thứ 2 - Thứ 6 | 08:00 - 17:00)

Chọn sản phẩm tặng kèm

Mã hàng: 8936214270873
Nhà xuất bản: NXB Đại Học Quốc Gia Hà Nội
Tác giả: Nguyễn Xuân Nam
Năm xuất bản: 2023
Số trang: 390
Trọng lượng: 410g
Kích thước: 20.5 x 14.5 x 1.9 cm
 

Sổ Tay Luyện Thi Vào Lớp 10 Môn Toán

ƯU ĐIỂM CỦA CUỐN SỔ TAY LUYỆN THI VÀO LỚP 10 - MÔN TOÁN

1. Hệ thống kiến thức toán học ngắn gọn, trọng tâm nhất

Cuốn sách bao gồm 12 chương kiến thức ngắn gọn nhất, trọng tâm nhất, chắc chắn xuất hiện 99% đề thi vào 10. Sổ tay đã được biên soạn và hệ thống hóa kiến thức toán học một cách tỉ mỉ và logic. Các chương sách được xây dựng một cách ngắn gọn, rõ ràng và chi tiết, giúp bạn nắm bắt và hiểu rõ từng khái niệm và các kiến thức cần nhớ.

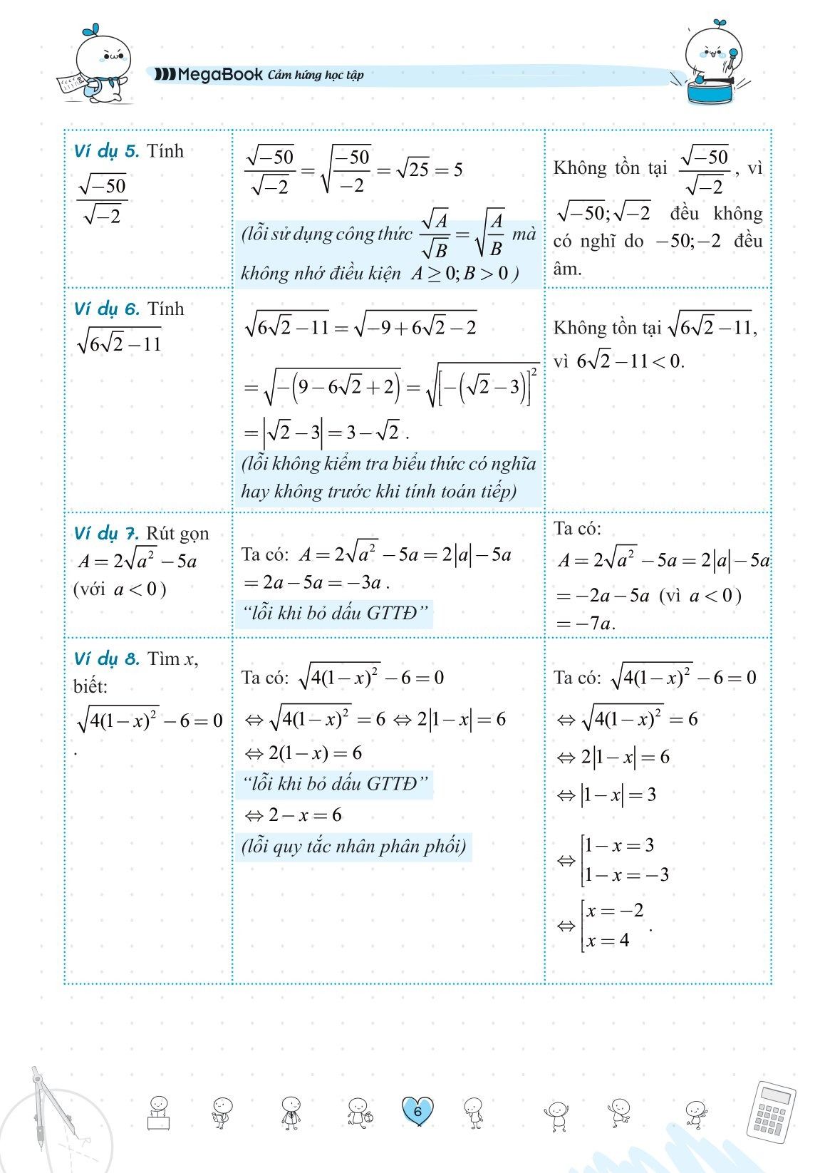
2. Chương đầu tiên - Học từ lỗi sai:

Sổ tay dành riêng một chương để thống kê các lỗi sai thường gặp khi giải toán. Đây là các lỗi sai của học sinh được tổng hợp từ các thầy cô nhiều năm kinh nghiệm trong việc giảng dạy, chấm thi kỳ thi vào 10. Điều này giúp bạn nhận ra những sai lầm thường mắc phải và tránh lặp lại chúng. Chương này cũng cung cấp cách giải đúng cho từng lỗi, giúp bạn hiểu rõ và sửa chữa những sai sót của mình.

3. Tóm tắt kiến thức thông minh

Mỗi chương trong sách đều được tóm tắt kiến thức một cách logic, rõ ràng, thông minh. Phần này không chỉ giúp bạn có cái nhìn tổng quan về nội dung chương, mà còn giúp bạn nắm bắt những điểm chính cần hiểu và ghi nhớ.

4. Đa dạng dạng bài và phương pháp giải:

Sổ tay cung cấp đầy đủ các dạng bài thường gặp trong kỳ thi vào lớp 10 môn toán. Mỗi dạng bài đi kèm với phương pháp giải cụ thể, giúp bạn hiểu rõ cách giải từng bài tập và áp dụng vào thực hành. Không còn loay hoay mất thời gian tìm kiếm lời giải, bạn sẽ có công thức cho mọi dạng bài xuất hiện trong đề thi.

Sách cũng cung cấp nhiều ví dụ minh họa thực tế từ đề thi để giúp bạn thực hành và ghi nhớ các bước giải. Việc thực hành qua các ví dụ cụ thể giúp bạn nắm vững các phương pháp giải toán và áp dụng linh hoạt vào các bài tương tự.

5. Thiết kế bắt mắt và dễ sử dụng:

Với bố cục hợp lý và giao diện thân thiện, sổ tay chinh phục luyện thi mang lại trải nghiệm học tập tuyệt vời và thuận tiện cho học sinh

Với những ƯU ĐIỂM trên, cuốn sách Sổ tay luyện thi vào lớp 10 - Môn Toán chắc chắn sẽ là người bạn đồng hành, giúp các bạn học sinh lớp 9 chinh phục thành công kỳ thi vào lớp 10 sắp tới.

Sản phẩm đã xem

-%
0₫ 0₫
Dịch vụ tận tâm Dịch vụ tận tâm
Sản phẩm đa dạng Sản phẩm đa dạng
Vận chuyển chu đáo Vận chuyển chu đáo
Giá cả hợp lý Giá cả hợp lý
Tài khoản Giỏ hàng Trang chủ Facebook Instagram TOP